Home
Download PDF
Order CD-ROM
Order in Print
Home
>
US Coast Guard Command Instructions
>
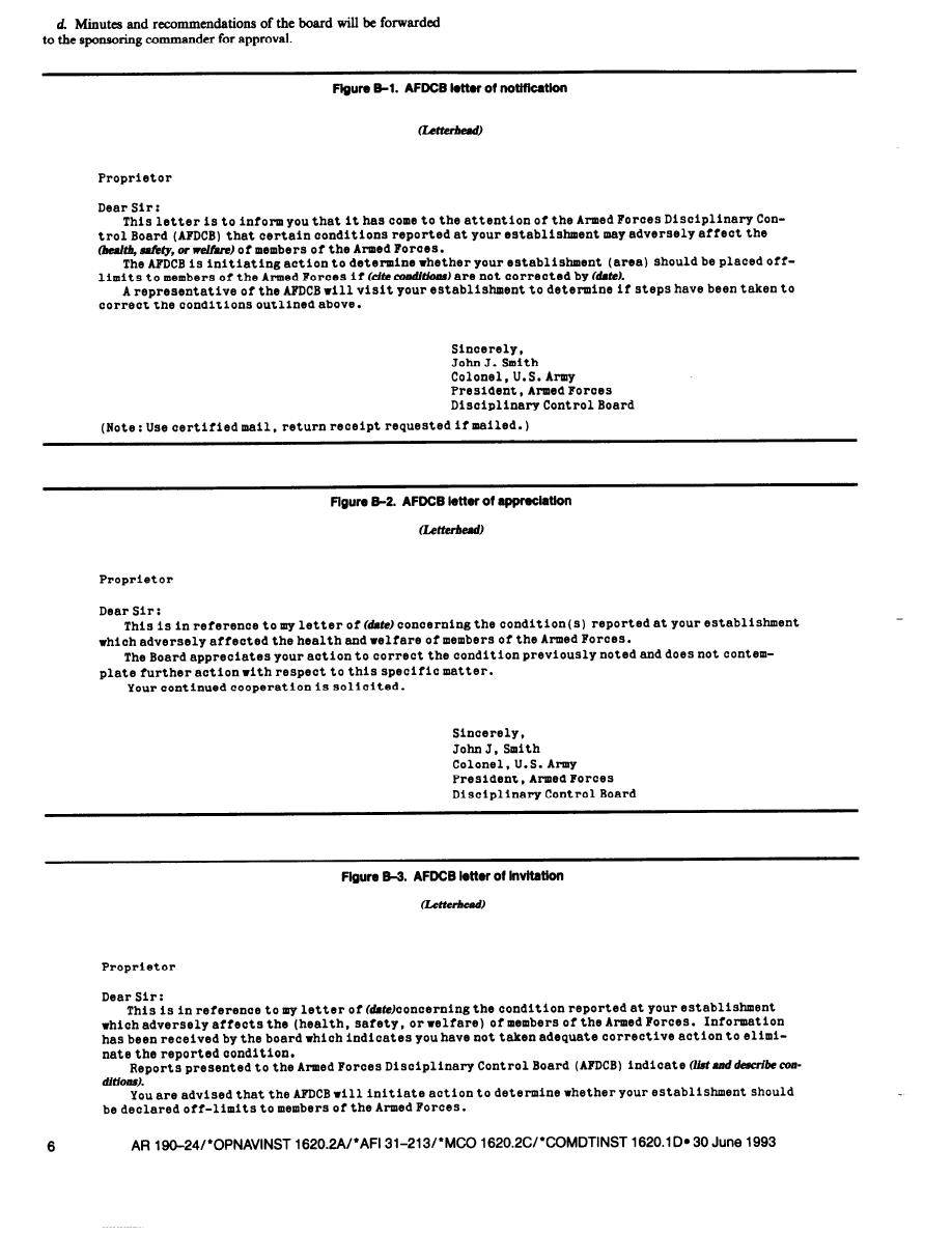
> Figure B-1. AFDCB letter of notification
Removal of off-limits restrictions
Figure B-4. AFDCB off-limits approval letter
Armed Forces Disciplinary Control Boards and Off-Installation Liason and
Page Navigation
4
5
6
7
8
9
10
11
12
13
14